Multi-Level Monte Carlo parameter optimization and variance reduction for irregular functions with applications to life-insurance risk measurement
创建于 更新于
摘要
本论文聚焦于金融风险管理中通过嵌套蒙特卡洛估计风险指标(如大损失概率和VaR)的问题,针对含指标函数的不规则函数,提出了一种新型多层蒙特卡洛(MLMC)参数化方法,显著提升了非渐近环境下的性能,并证明了反向采样能普适性降低方差。通过对寿险经济资本计算的数值实验验证了方法有效性,推动理论方法向实际应用的桥接 [page::0][page::2][page::5][page::17][page::26][page::28]。
速读内容
研究背景与问题定义 [page::0][page::1]
- 风险管理中常需估计形式为 $I=\mathbb{E}[f(L)]$ 的函数,其中 $L=\mathbb{E}[Z|X]$ 为条件期望,常用嵌套蒙特卡洛估计。
- 当 $f$ 是指标函数时(如估计累计分布函数、VaR),估计效果差,标准嵌套蒙特卡洛采样效率低,误差减半需成本提升8倍。
- 样本内(inner)与样本外(outer)采样成本比 $\tau$ 会影响参数最优配置。
MLMC方法及加权扩展介绍 [page::2][page::3][page::4]
- MLMC通过多层样本内采样规模递增的方式降低偏差与方差。
- MLMC估计器参数包括外层采样数 $J$,多层内采样分布比例 $q$,基层内样本数 $K$,层数 $R$。
- 加权MLMC(ML2R)引入权重序列以提升不规则函数估计性能,特别是指标函数情景下。
反向采样方差缩减机制证明 [page::5][page::6]
- 针对指标函数的不规则性,论文证明通过反向采样构造下层估计,对所有 $f$(无论平滑与否)均可减少MLMC层级间差分的方差。
- 反向采样后,方差差异恒非负,提升方差收敛速度,是指标函数估计中的关键技术。
MLMC参数传统与优化方法 [page::7][page::8][page::9][page::10][page::11][page::12][page::13][page::14]
- 标准MLMC参数化在渐近小误差 $\varepsilon \to 0$ 下有明确闭式解,忽略外层成本 $\tau$。
- 本文推广参数化,显式计入任意 $\tau \geq 0$,并开发数值优化算法调整 $K,R$,使非渐近环境下性能提升。
- 优化算法确保误差约束下计算成本最低,且渐近性质依旧得到保证。
影响参数 $\tau$ 的系统分析 [page::17]
- 随 $\tau$ 增大,优化目标更倾向于方差控制,导致最优层数 $R$ 降低,内层样本数 $K$ 增加,外层样本数 $J$ 减少。
- 外层样本分配权重趋近于按各层方差比例分配,采样成本与方差权重脱钩。
指标函数场景下的MLMC特点 [page::18]
- 估计点值累计分布函数 $I = \mathbb{P}(L \leq u)$ 时,偏差阶为 $\alpha=1$,方差衰减系数 $\beta=0.5$。
- 指标函数的特性导致各层方差与首层方差量级相当,难以快速降低方差,ML2R优于标准MLMC。
- 最优层数通常较低(2-3层),需较高计算预算才显出优势。
寿险模型及数值实验框架 [page::19][page::20][page::21][page::22]
- 设计简化寿险资产负债管理模型,基于Black-Scholes股市及常数死亡概率。
- 定义自有资金(own-fund)与未来一年损失,用量化方法评估99.5% VaR。
- 通过闭式公式计算基准风险度量,直接嵌套MC和MLMC/ML2R对比。
结构参数估计与实验结果 [page::24][page::25][page::26][page::27][page::28]
- 估计偏差系数 $c1 =0.025$,偏差增长因子 $a=2$,方差常数 $V1^A=0.01$(用反向采样),$V_1^S=0.02$(未用反向)。
- 5种估计器比较:标准嵌套MC、加权ML2R(新旧参数)、标准MLMC(新旧参数)。
- 新参数提升非渐近区性能,在低预算时自动选择少层数且不劣于嵌套MC。
- 最高精度时,ML2R较嵌套MC效率高3-4倍,反向采样和权重提升效果明显。
计算预算固定下的参数鲁棒性对比 [page::28]
- 随 $\tau$ 增加,基于新参数表校准的ML2R表现出更高效率。
- 最优层数 $R$ 随 $\tau$ 增加略降,但保持在2以上,权重MLMC持续优于嵌套MC。
- 反向采样对指标函数情景下有效降低方差,提升计算效率。
深度阅读
深度分析报告解构 —— “Improving MLMC for estimating loss probabilities and quantiles in nested Monte Carlo frameworks with indicator functions”
作者: Alexandre Boumezoued, Adel Cherchali, Vincent Lemaire, Gilles Pagès, Mathieu Truc
发布日期: 2025年10月23日
---
1. 元数据与报告概览
本报告聚焦于金融风险管理中嵌套蒙特卡洛(Nested Monte Carlo, NMC)方法的改进问题,特别是估计损失概率(large loss probabilities)及VaR(Value-At-Risk)等风险度量时遇到的挑战。核心议题为如何提升多层蒙特卡洛(Multi-Level Monte Carlo, MLMC)和加权变体(ML2R)在处理不规则函数(尤其是指示函数indicator function)时的计算效率。作者创新性提出了针对嵌套MC估计中指标函数模型的MLMC参数化优化方案,并证明抗变量采样(antithetic sampling)必然降低方差,无论函数是否平滑。报告主题涵盖了方法论提出、理论保证及基于寿险定价场景的数值实验验证。
整体目标是将理论前沿方法与实际需求结合,提升保险资本计算效率,特别是在非渐近计算场景下。文章明确指出,现有依赖MLMC的估计难以高效处理指示函数所固有的不连续性,本研究通过参数优化和采样策略的改进,实现显著提升。
---
2. 逐节深度解读
2.1 概述与数学背景(Abstract & Introduction)
- 关键论点:
- 传统通过NMC嵌套模拟估计条件期望存在高成本问题,尤其是指标函数导致的不规则性影响MLMC方法表现。
- 指示函数(例如针对损失概率的累积分布函数估计)天然具有不规则性;此类场景下方差收敛减慢,传统MLMC效率受限。
- MLMC通过层级差分的组合减少偏差和方差,但对指标函数这种不平滑函数表现不佳。
- 本文介绍利用ML2R加权技术及抗变量采样有效降低方差,并提出一套数字优化参数配置方法,显著性能提升且有数学理论保障。
- 数学构架:
- 设随机变量 $X \in \mathbb{R}^d$,随机变量 $U$ 独立于 $X$。
- $Z = F(X, U)$,定义条件期望函数 $\psi(x) = \mathbb{E}[F(x,U)]$,则随机变量 $L=\psi(X)$ 是无法实现的条件期望的理想目标。
- 估计目标为 $I = \mathbb{E}[f(L)]$(尤其 $f$ 是指标函数时)。
- NMC方法中通过内层样本数$K$近似条件期望,外层样本数$J$估计期望。
- 重要定义:
- 内层近似 $\hat{E}K (x) = \frac{1}{K} \sum{k=1}^K F(x, Uk)$,是$\psi(x)$的无偏估计。
- 嵌套MC估计 $\displaystyle I{J,K} = \frac{1}{J} \sum{j=1}^J f\left(\frac{1}{K} \sum{k=1}^K F(Xj, U{j,k})\right)$。
- 问题点:
- 嵌套MC效率低,误差减半需模拟次数增八倍;指标函数使误差控制更困难,对方差的控制尤为苛刻。
---
2.2 多层蒙特卡洛与抗变量采样(Section 2)
- MLMC框架:
- 选择内层样本数序列 $Kr = K 2^{r-1}$ ,不同层级分别估计差分 $\mathbb{E}[Y{Kr} - Y{K{r-1}}]$ 。
- 用$Jr$个样本独立估计每层差分,实现有效的计算成本分配。
- 加权MLMC(ML2R):
- 通过特别设计的权重 $Ar^R$ 组合各级差分结果,实现方差和偏差的更好权衡,尤其对指标函数效果更佳。具体权重构造见附录A.1。
- 抗变量采样(Antithetic sampling):
- 核心创新点,分解细层样本$2N$为两个粗层样本$N$,分别估计两组粗层指标函数后取平均,实现样本相关性增强,显著降低方差。
- 理论结果(Theorem 1):
$$
\mathrm{Var}[\Delta Y{2N}^S] - \mathrm{Var}[\Delta Y{2N}^A] = \frac{1}{2} \mathbb{E}[\mathrm{Var}[YN|X]] \geq 0.
$$
- 任意函数 $f$ 都适用,且若 $F(X,U)$ 不独立于 $X$,方差必有严格降低。
- 指示函数特例(Corollary 1)表示方差降低与条件概率相关。
- 误差与方差假设:
- 存在偏差扩展 $\mathrm{WE}\alpha$ 和方差衰减 $\mathrm{Var}\beta$ 假设,分别度量偏差随样本数$K$增长的速度(指数$\alpha$),方差随样本数$2N$增长衰减速率$\beta$。
- 指示函数常对应$\alpha=1,\ \beta=0.5$。
- 渐近复杂度结果(Theorem 2 & 3):
- ML2R 和 标准 MLMC 在不同$\beta$水平具有不同渐近成本复杂度。
- 对于指标函数框架($\beta=0.5<1$),ML2R相较于MLMC效率显著提升。
- $\tau=0$ 情况下理论成熟,但实际中$\tau>0$(外层采样成本非零)需额外考虑。
---
2.3 参数优化与非渐近效果(Section 3)
- 成本函数:
$$
\tilde{\mathcal{C}}{\tau}(\theta) = J \sum{r=1}^R qr \gamma{\tau}(Kr),
$$
其中内层采样成本 $\gamma{\tau}(K) = \tau + K$,$\tau$表示外层与内层采样成本比率(无量纲)。
- 复合参数空间定义 $\Theta$ ,四元组 $(J,q,K,R)$:
- $J$:总外层样本数(代理变量)。
- $q$:样本分配比例。
- $K$:基础内层样本数。
- $R$:层级数。
- 已有闭式参数:
- 表1汇总了在$\tau=0$时标准及加权MLMC参数闭式表达。
- 通常启用几何级数 $Kr = K 2^{r-1}$。
- 扩展到$\tau>0$的复杂度(Theorem 4):
- 证明现有闭式参数在任意$\tau$下渐近保持有效,但非渐近时性能欠佳。
- 具体原因在于较大$\tau$时外层采样成本显著,影响参数分配结构优化。
- 非渐近数值优化(Section 3.2):
- 设计数值最优化方法联合判定$K$和$R$,完全考虑$\tau$,以提升有限样本及高$\tau$场景下效率。
- 优化目标:
$$
\min{\theta} \tilde{\mathcal{C}}{\tau}(\theta) \quad\text{s.t.}\quad \mathcal{M}(\theta) \leq \varepsilon^2,
$$
其中$\mathcal{M}$表示均方误差(MSE)。
- 利用代理函数$\widetilde{\mathcal{M}}$简化后拆分优化流程:
- 先定$(q,K,R)$,针对$J$有显式解($J$与方差反比)。
- 优化$q$时利用凸优化和拉格朗日乘子法,得出样本分配闭式(Proposition 7),样本分配比例与每级方差和成本平方根成反比。
- $K$和$R$通过数值搜索获得,保证满足误差约束。
- 最终优化参数结构(表2):
- $R^(\varepsilon), K^(\varepsilon)$ 通过数值最小化计算。
- $q^(\varepsilon), J^(\varepsilon)$是闭式函数。
- 该优化方案在理论上保证保持与渐近方案同级别性能(Theorem 5),且实际成本不高于传统方案。
- $\tau$影响分析(Section 3.3):
- $\tau$越大,外采样成本越重要,优化将倾向于降低层数$R$,提高内采样数$K$以降低外采样次数$J$,实现效率最大化。
- 样本分配权重$qr$趋于仅依赖方差贡献,与成本无关。
---
2.4 指示函数应用框架(Section 4)
- 指标函数场景:
- 估计固定阈值下损失的累积分布函数:
$$ I = P(L \leq u) = FL(u). $$
- 针对保险领域的VaR计算(如99.5%分位量)极为重要。
- 指标函数导致的数学性质:
- 偏差收敛阶$\alpha=1$,方差衰减慢,$\beta=0.5$。
- 该慢衰减率导致更慢的方差收敛,MLMC层间方差$\approx$第一级方差,使得增加层级带来显著方差增加,慎用多层级。
- 结构方差的具体公式(Proposition 8):
- 首级方差 $\bar{\sigma}^2(1,K)$可用Bernoulli性质展开。
- 实际估计中,首级方差不应盲目用1/4,而应结合先验测算的概率$I$, 如$0.005 \times (1-0.005)$。
- 这一切促使实际中好用层数很少(1-3层),而ML2R因其权重提高偏差控制,在指标函数场景下表现显著优于标准MLMC。
- 嵌套MC闭式参数(Proposition 9):
- 给出携带$\tau$的内采样数量$K\tau^+(\varepsilon)$求解公式,体现$\tau$对$K$分配的影响。
- 高$\tau$下$K\tau^+(\varepsilon)$增长,表示更倾向于多内层采样减少昂贵的外采样。
- 指标函数的分位数估计:
- 通过固定样本序列,变阈值$v$计算估计$c.d.f$,求根找到对应的分位数。
- $R=1$情况对应排序统计量,$R>1$时需数值迭代求根。
---
2.5 典型寿险模型实际应用(Section 5)
- 背景与动机:
- 欧盟Solvency II规定保险公司需计算99.5%分位的1年自有资金损失(SCR)。
- 真实计算大多基于嵌套MC,且内期望难以精确模拟,符合本文建模框架。
- 市场与死亡率模型:
- 股票价格采用Black-Scholes模型(带实际收益率$\mu$和风险中性收益率$r$)。
- 保险合同含盈利分享及最低保证利率,带死亡率$p$,分年度计付。
- 通过封闭式公式明确定义自有资金$OFt$及损失$Lt$(Section 5.3),为后续MC估计提供数学基础。
- 明确嵌套MC的随机变量定义:
- 空间随机变量$X \sim$股票价格分布,$U$为未来风险中性随机路径变量构成,二者独立。
- 目标变量$L1 = \mathbb{E}[F(X,U)| X]$。
- 股价函数下降性质与分位数闭式计算(Propositions 11-12):
- 驱动函数$\psi$在某区间内单调递减,导致分位数可表示为正态变换下的函数。
- 实验中$99.5\%$分位约为252.76,成为数值对比基准。
---
2.6 结构参数预估及数值实验(Section 6)
- 结构常数估计(Section 6.1):
- 通过蒙特卡洛实验估计偏差$|E[Y{2K} - YK]| \approx c1 / (2K)$,选用$c1=0.025$。
- 第二阶偏差系数$c2=0.05$,近似设定为几何增长$a=2$。
- 方差衰减常数$V1$对于抗变量采样版本约$0.01$,非抗变量采样版本约$0.02$。
- 初层方差$\approx 0.5\%$,对应指示函数概率水平约0.005,符合Bernoulli变量波动下的估计。
- 比较不同估计器效率(Section 6.2):
- 对比传统嵌套MC($R=1$固定),标准MLMC,带权ML2R,以及两者经典及数值优化参数版本。
- ML2R加新参数明显优于其他方法,尤其在高精度要求与大计算预算区间。
- 标准MLMC无权重版本未表现出超越传统嵌套MC的优势,凸显权重设计的重要性。
- 抗变量采样在指标函数场景的方差减半效果在图2右侧明显展示。
- 参数对$\tau$的敏感性分析(Section 6.3):
- 随外层成本$\tau$升高,数值优化参数版本表现更稳健,效率提升比例逐渐拉大(效率提升约$40\%-70\%$)。
- 优化方案明显调整层数$R$逐渐减少,内层样本增多,与理论分析相符。
- 表5、表6及图4清晰体现$\tau$敏感性。
---
3. 图表深度解读
3.1 图1 (第24页)
(a) Own-fund损失分布估计直方图及核密度估计显示,损失分布呈右偏状态,大部分情况损失为零或轻微损失,尾部有显著的极端大损失概率,符合保险标的的尾风险结构;
(b) 函数$\psi(x)$与初始股票价格$x$的关系图说明:$\psi$随着股份价格下降呈单调递减趋势,且跌破特定范围时损失急剧增加,表明低股票价格对应较大资金损失的风险敞口。
3.2 图2 (第26页)结构参数估计
(a) 一阶偏差估计逼近理论线比例线良好,验证$c1=0.025$适用;
(b) 二阶偏差估计、方差估计除指数衰减趋势外,带有明显置信区间,显示估计不易高精度,且战败采样($V1^A$)版本方差较低;
(c) 抗变量采样显著降低方差(约减半),即使指标函数不平滑,抗变量采样仍然有效。
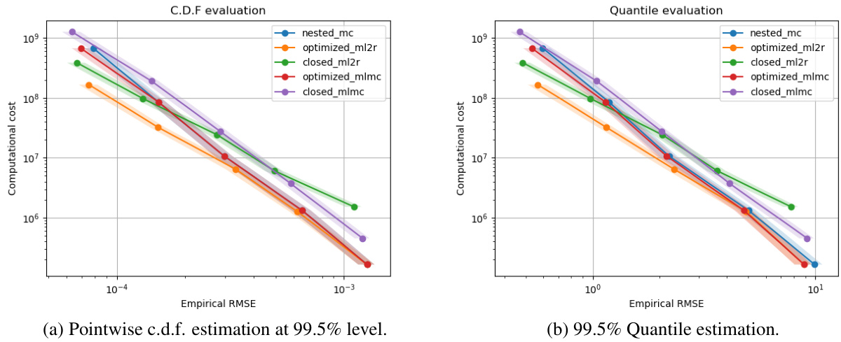
3.3 图3 (第27页)不同估计器计算成本对比
- 横轴为经验RMSE,对数刻度;纵轴为计算开销,单位模拟次数;
- 加权ML2R(橙色)优于其他方法,尤其在高精度时效率提升明显;
- 标准MLMC无权重(紫色)表现甚至落后传统NMC(蓝色);
- 数值优化参数版本在低预算时仍保持性能不劣于NMC,合理选择$R=1$,避免过度复杂模型导致性能倒退。
3.4 图4 (第28页)参数效率对$\tau$敏感度
- 图中效率随着$\tau$增大单调递增,最高接近1.7倍,更大部分置信区间勒紧在1.3以上;
- 证明数值优化参数调节具备显著改善大外采样成本场景的能力。
---
4. 估值分析
报告中并未涉及传统的DCF或市盈率估值法,但其核心涉及“估值”特指风险度量估计的计算资源分配优化。
- 损失概率 $I=\mathbb{P}(L \leq u)$ 和分位数 $q\alpha$ 估计被看作是金融资产负债及风险计量模型中的关键“估值”任务。
- 使用MLMC相关技术加权与参数最优化策略,以最小化在设定误差约束下的计算复杂度,实现“估值”的效率极大提升。
---
5. 风险因素评估
风险因素体现在以下几个方面:
- 指标函数不平滑导致估计困难:
- 指示函数的非光滑性导致方差收敛缓慢($\beta=0.5$),增加层级方差负担。
- 传统MLMC层级间方差接近第一层方差,添加层级方差难以显著下降。
- 外层采样成本$\tau$高影响参数配置和模型效率:
- 复杂风险中性模型校准导致高外层采样成本,若未在参数优化中考虑此因素,则计算效率低下。
- 结构参数估计误差影响优化参数可靠性:
- 偏差高阶项难以估计,可能导致权重设计或层级选择非最优。
- 数值优化参数方案的敏感度:
- 新方案针对$\tau$与$\varepsilon$数值调优,有效缓解了建模风险和计算复杂度之间的权衡问题。
---
6. 批判性视角及细节观察
- 潜在偏差与局限:
- 结构常数$cr$的估计存在较大不确定性,影响权重设计的准确性和偏差消除效果,特别是高层权重。
- 数值优化依赖对结构参数的预估,预处理阶段如果偏差估计错误,则整体优化可能失效。
- 指示函数框架中,$\beta=0.5$方差衰减速度较缓,限制了MLMC层级的层数和效率提升的空间,即使加权优化也难以极致。
- 表格1和表2中参数表达不完全明确,部分符号和公式表达(尤其表格截图)破碎难以直接解析,实际实现需参考原文附录。
- 技术细节与理论假设:
- 抗变量采样的方差减半证明(Theorem 1)依赖于条件独立性和相关性,实践中可能因复杂模型违背,影响效果。
- 外采样成本$\tau$的巨大影响仅限于非常复杂场景,对于一般风险因子数量较少时其影响体现在数值实验中较轻微。
- 指示函数估计的数值方法如根寻找算法可能带来推荐计算负担,但报告中未涉及具体效率权衡。
---
7. 结论性综合
本文报告针对保险和金融风险管理中嵌套蒙特卡洛模拟估计风险度量(大损失概率和VaR等),重点解决了指标函数(指示函数)带来的非光滑挑战和实际外层采样高成本问题。
- 创新贡献:
- 证明了抗变量采样可系统性降低MLMC差分层的方差,无论函数是否光滑,是首个相关理论结果。
- 设计闭式和数值混合的MLMC参数优化方法,显著提升非渐近状态下的采样效率,同时包含外采样成本$\tau$的显式调节。
- 证明在理论保证下数值优化参数的成本永不高于传统参数方案,并在数值实验中表现出清晰优势和更优性能。
- 实验验证:
- 在简化的寿险资产负债模型中,根据真实和估计的参数常数进行结构化参数建立,提供参数设定依据。
- 指示函数框架下,加权ML2R优于标准MLMC和传统嵌套MC,尤其在高精度高预算要求时优势显著(提高3-4倍效率);
- 数值优化参数更稳定反映外采样成本,减少层数、加大内样本量,实测效率提升40%以上;
- 抗变量采样即使在指标函数不光滑情景依然实现约50%方差减半,确认其实用性。
- 总体评价:
REPORT阐释了理论和实证结合的多层蒙特卡洛改进路径,特别针对保险内部模型复杂度大、外层采样昂贵的特点,创新地将权重技术、抗变量技术和数值优化参数整合应用,显著提升风险度量计算效率。
---
附:关键图表图片引用
图1 Own-fund损失密度及损失函数

图2 结构参数估计

图3 计算成本与估计误差的比较

图4 参数优化对$\tau$敏感度

---
参考出处的溯源页码
以上分析基于报告内容,指向页码见下:
[page::0,1,2,3,4,5,6,7,8,9,10,11,12,13,14,15,16,17,18,19,20,21,22,23,24,25,26,27,28,29,30,31,32,33,34,35,36]
---
总结:
此报告为金融及保险领域从业人员提供了多层蒙特卡洛技术在指标函数风险计量估计中的最新理论进展与实践指南,特别强调非光滑函数与高外采样成本情形下的参数优化策略与抗变量采样技术的结合运用,兼具理论严谨性与实证有效性。

