Data for Inclusion: The Redistributive Power of Data Economics
创建于 更新于
摘要
本文基于乌拉圭2021年微观调查数据,模拟三种信用数据可见性制度,探讨正面信用数据共享对信贷可获得性、利息负担及贫困率的影响。研究发现,扩大正面数据访问显著降低借贷成本,压缩利率差异,减少信用负担的基尼系数,促进金融包容与贫困缓解,数据作为非竞争性公共资产展现出强大再分配潜力[page::0][page::6][page::9][page::10][page::15][page::16]。
速读内容
研究背景与理论框架 [page::1][page::3][page::4]
- 信息不对称导致低收入群体面临“贫穷溢价”,支付更高融资成本。
- 数据的非竞争性特征使其具备重复利用产生边际递增收益的潜力。
- 传统负面信用数据体系加剧信息排斥,包含正面信用数据有助改善风险识别和公平性。
实证设计与数据来源 [page::6][page::7]
- 利用乌拉圭2021年国家家庭连续调查,结合Equifax的Score+算法,构造三种信用数据情境:负面数据唯一、Score+(部分正面数据)、模拟全面开放金融数据。
- 模拟授信概率、利率调整及信用负担,测算不同情境下利息负担、贫困和极端贫困比例。
主要实证结果——信用能见度提升的收入分位分布 [page::9]

- Score+方案使中低收入分位(第三至第六分位)群体信用评分显著提升。
- 底层两分位仍受限于制度排斥,顶部高收入分位增益有限,体现对边缘群体的针对性再分配效应。
利息负担和贫困状态的改善 [page::10][page::11]

| 信用数据制度 | 平均利息负担占收入比例 | 贫困率(%) | 极端贫困率(%) |
|----------------------|-----------------|----------|----------------|
| 负面数据唯一(基线) | 11.8% | 9.2% | 1.8% |
| Score+(部分正面数据) | 9.8% | 8.4% | 1.4% |
| 开放金融(全面数据可见性模拟) | 8.1% | 7.9% | 1.3% |
- Score+降低中低收入家庭利息负担15%-25%,信贷负担显著减轻。
- 数据驱动的信贷能见度提升促成约75户家庭脱离贫困,未依赖收入增长或转移支付。
- 开放金融方案的潜在效率及公平提升更大。
信贷负担的不平等性及鲁棒性分析 [page::12][page::13]

| 指标 | 负面基线 | Score+ | 开放金融(模拟) |
|--------------------|----------|----------|-----------------|
| 可支配收入Gini系数 | 0.213 | 0.210 | 0.206 |
| 信贷负担基尼系数 | 0.319 | 0.276 | 0.251 |
| 贫困线下家庭占比(%) | 16.1% | 15.3% | 14.0% |
| 模拟平均利率(%) | 58.7% | 48.1% | 35.2% |
| 得分提升家庭比例(%) | | 35.4% | 100%(模拟) |
- Score+大幅压缩了信贷负担的不平等性,显著降低贫困家庭比例。
- 双重稳健估计与合成控制分析结果一致,确认因果效应显著。
策略与政策启示 [page::13][page::14][page::15]
- 简单的数据可用性提升不足以消除结构性不均等,算法和模型设计需引入公平性约束。
- 监管应推动数据共享规则,落实算法透明度与效应审计,利用合成数据方法提前评估政策影响。
- 推广数据作为公共资产的治理理念,实现经济可见度与包容性的制度设计。
深度阅读
金融研究报告详细分析报告
---
一、元数据与报告概览
报告标题:Data for Inclusion: The Redistributive Power of Data Economics
作者:Diego Vallarino
发布机构:Interamerican Development Bank(泛美开发银行)
发布时间:2025年9月
研究主题:以乌拉圭为样本,探讨在金融排斥的经济环境下,扩展积极的信用信息访问如何影响信贷可及性、利息负担及收入不平等,特别关注信用数据的再分配性质与经济效率。
核心论点与结论摘要:
报告通过模拟三种信用数据披露制度(仅负面信息、部分积极信息即Score+、以及合成的全面开放数据制度),发现扩大数据共享显著降低金融成本,压缩利率差异,并减少基尼系数的信贷负担不平等。部分积极信息虽令部分群体受益,但全面合成的数据可实现最佳的公平与效率效果。作者主张信用数据应被视为具有非竞争性的公共资产,具有改变金融包容性和缓解贫困的潜力。[page::0]
---
二、逐章节深度解读
1. 引言
报告开头指出,尽管金融创新层出不穷,中等收入国家的贫困仍难以消除,根本原因在于信息不对称持续导致排斥。信贷的可及性越来越依赖“数据可见性”,即信用数据的可获取性和利用率。文中提出一个核心假设:数据若能得到伦理治理和高效再利用,将成为具有再分配力量的经济资产。
- 负面信息主导的传统信用体系,加剧了对贫困群体的“贫困溢价”效应,让低收入者面临更高的信贷成本,即使其风险并不高。
- 积极信用数据(如良好还款记录和账户稳定性)是一种非竞争性资源,可被多机构共享,零边际成本地重复使用,有利于降低不平等。
- 报告贡献两方面:理论框架塑造数据作为再分配资产的经济学模型,并以乌拉圭Score+案例实证其效果,即通过增加积极信贷行为数据,降低贫困人口的利息负担和贫困率。[page::1,2]
2. 理论框架
2.1 非竞争性和数据再利用经济学
- 数据不同于劳动与资本,是非竞争性商品,一单位数据可同时被多个经济主体使用不减少其价值。
- 这种特性使得数据再利用带有规模报酬递增效应(Jones & Tonetti, 2020),广泛共享有助于提升信息市场的配置效率。
- 如果数据被少数垄断者囤积,市场效率受损;反之,数据作为“半公共资源”利用便会激发潜在社会价值。
- 信用评分系统通过所使用的数据决定金融市场中哪些主体可见、信贷资格及利率水平,基础结构上的数据包容性成为关键。[page::3]
2.2 信息摩擦与贫困溢价
- 由于算法评分模型大多具负面偏见,对低收入群体的积极还款行为忽视,导致贫困群体利率高企(Carrière-Swallow & Haksar, 2019)。
- 引入积极信用信息增强信号质量,同时减少逆向选择,有助于“内生地”将资源输送给边缘但低风险的群体。
- 数据信息的可重用性使得再分配效应可持续、成本边际趋近于零,与传统财政补贴不同,提高了政策的效率。[page::4]
2.3 从数据所有权到数据劳动
- 现行体系中,数据经济价值掌握在中介机构手中,个人处于被动地位。
- 数据即劳动框架(Arrieta-Ibarra et al., 2018)将个人转变为数据的经济主体,增加其对数据共享的控制权和价值回报权。
- 这带来新的制度需求,如数据共享的同意管理、算法透明度及反偏见保障。
- 个人对数据可见性的控制反过来成为政策杠杆,结构性地推动金融包容。[page::5]
2.4 将再分配嵌入市场机制
- 数据的非竞争性与互操作性将变革信贷定价机制,实现市场基础上的分配优化,降低低收入群体融资成本而不扭曲供给。
- 研究指出单靠私营契约难以实现最优数据共享,需要政策参与,以内化数据使用的外部效应。
- 总结来看,数据治理若坚持非排他、隐私与同意原则,数据即可成为技术创新之外的结构性金融包容平台。[page::5,6]
3. 实证策略与数据
3.1 识别框架
- 以乌拉圭Equifax推出的Score+为自然实验,该体系在不改变收入等经济变量的前提下,将积极信贷行为纳入评分体系。
- 对家庭样本分别模拟:仅负面数据(基线)、Score+制度、以及完全开放互通的数据制度三种情景,比较信用可及、利息负担及贫困率差异。
3.2 样本与评分参数
- 核心数据取自2021年乌拉圭国家代表性家庭调查(ECH),涵盖收入、就业、信用状态等详细信息。
- Score+评分基于积极还款、低借贷利用率等行为指标,将家庭划分为不同可见性层级,进而施加利率优惠。利益率调整幅度为15%至30%。
- 该可见性指标与收入不相关,保证经济能力与信息表现的分离,助于识别可见性效应纯净影响。
3.3 反事实构建与指标
- 三种制度下,计算年利息负担占可支配收入比例、贫困状态、及极端贫困率。
- “数据驱动出贫”定义为仅因贷款利率降低导致从贫困线以上跃升,非源于收入变化。
3.4 计量策略及稳健性
- 采用双重稳健估计法结合倾向得分加权与回归调整,有效控制混淆变量。
- 使用合成控制法构建无Score+干预的乌拉圭“合成对照”,对比处理效果。
- 结果显示低中收入三至五分位家庭利息负担减少17%以上,贫困率下降0.7个百分点,稳健性检验通过。[page::6-8]
---
三、图表及数据深度解读
图1:Score+分数提升分布(按收入十分位)
- 描述:箱型图显示Score+实施后不同收入组的信用评分改进幅度。
- 解析:中间三个收入十分位(3-6)获得最大幅度的分数提升,边缘较低的收入十分位(1-2)变化不明显,顶层(7-10)则已接近饱和,无明显提升。
- 意义:证实积极数据的信用可见性提升主要发生在正式金融边缘的中低收入家庭,实现精准再分配。
- 结论:数据再利用并非均等扩散,而是对金融可及性边际群体的差异化改善。
[page::9]---
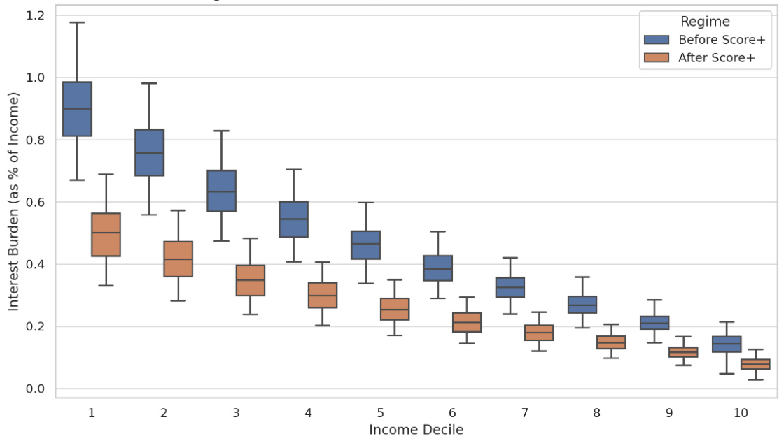
图2:Score+前后按收入十分位的利息负担分布变化
- 描述:Score+实施前后,利息负担(占收入比例)在各收入十分位的变化,呈箱型图。
- 解析:前Score+情形下,最低收入者利息负担极高(第1分位超80%),新机制实施后明显降低,2-5分位降幅均超15%;曲线整体下移表明利息负担普遍降低。
- 结论:信用数据公共价值释放,通过利率下降减轻低中收入家庭的支付压力。与贫困率下降同步关联。
[page::10]---
表1:不同数据制度下利息负担及贫困率对比
| 场景 | 平均利息负担(%收入) | 贫困率(%) | 极端贫困率(%) |
|--------------|------------------|---------|-----------|
| 基线(仅负面) | 11.8% | 9.2% | 1.8% |
| Score+(引入积极数据) | 9.8% | 8.4% | 1.4% |
| 开放金融(完全数据可见) | 8.1% | 7.9% | 1.3% |
- 说明:积极数据的引入明显降低了平均利息负担和贫困率,全部建立在信息可见性的提升上。
- 结合图3可见,约75个家庭因利息负担降低脱贫,证明"数据驱动出贫"的现实性。
[page::11]---
图4:利息负担Lorenz曲线(基线 vs Score+)
- 描述:基线与Score+条件下利息负担的Lorenz曲线。红线为基线,蓝线为Score+,对角线为完美平等线。
- 解析:Score+线明显贴近对角线,显示利息负担分配更加平等。
- 结合表2中的基尼系数变化(由0.319降至0.276),这表明积极数据的引入压缩了利息负担的分布不平等。
- 但需要指出的是,仍存在一定利率负担再分配的不均匀性,暗示数据治理需配合公平标准。

---
表2:三种数据访问制度下的分布与效率指标
| 指标 | 基线(仅负面) | Score+ | 开放金融(合成) |
|-----------------|------------|--------------|-----------------|
| 可支配收入基尼系数 | 0.213 | 0.210 | 0.206 |
| 利息负担基尼系数 | 0.319 | 0.276 | 0.251 |
| 贫困线以下家庭比例(%) | 16.1% | 15.3% | 14.0% |
| 平均模拟利率(%) | 58.7% | 48.1% | 35.2% |
| 评分提升的家庭比例(%) | — | 35.4% | 100% (合成) |
- 该表定量展示了随着信用数据从负面到部分积极再到完全开放,贫困率、利率及其不平等指标持续改善,表明开放型信用数据对金融包容性和效率的双重正向影响。[page::12,13]
---
稳健性检验
- 双重稳健估计法和合成控制法均确认Score+对第3-5收入十分位的利息负担显著减少(ATT显著性p<0.01)。
- 合成控制对比显示相同时间段内无Score+政策的合成对照组无显著利息负担变化,强化因果解读。
- 中国案例显示,信息驱动的利率降低能直接完成信贷市场中的结构性贫困缓解,无需依赖收入增长或财政补贴。[page::12,14]
---
四、估值分析
本报告未直接涉及企业估值或传统金融资产估价模型,而是基于微观模拟框架对信用数据作为“非竞争性资产”在信贷市场中如何影响价格及分配的定量研究。估值核心在于:
- 模拟基准利率$\bar{r}$为60%,
- 利率调整参数$\gamma$基于价格对信用数据可见性的弹性,文中取-0.20至-0.35,表明数据可见性提升导致利率下降。
- 结合家庭可支配收入,计算利息负担及贫困影响,推导数据机制对信贷市场福利和分配的效应范围。
- 合成控制法提供宏观层面政策影响的确认。
该方法体现了数据经济学在金融领域的创新估价视角,将数据权利的扩展理解为提升市场效率和再分配的结构资产。[page::22,23]
---
五、风险因素与潜在局限
- 结构性排斥:报告显示,底层最弱的第一、二十分位家庭仍未获得明显改善,表明信贷可及门槛之下的结构排斥仍强,数据再分配的边界存在。
- 算法偏见风险:报告警示,若不纳入分布公平性审查,仅以预测准确性优化模型,可能加剧中高收入群体收益,反而加剧整体利息负担的再分配不均,需监管给予算法公平性评估权重。
- 数据治理缺失:开放金融及全面数据共享带来“包容溢价”的同时,若监管与治理不到位,数据可能用于排除非主流群体,引发“数据滥用”风险。
- 经济环境变化外生性:尽管实施验证采用合成对照,但宏观经济或政策变动潜在影响不容忽视。
- 样本代表性与时间窗口:基于2021年乌拉圭数据,环境特异性和样本时效限制跨国或未来情境普适性。
---
六、结论性综合
本报告提出并实证支持了“数据即再分配资产”的理论框架,体现为:
- 积极信用信息的扩展从根本上改变了信贷市场的信息结构,提升了中低收入家庭的信贷可见性和可及性,进而显著降低其利息负担与贫困率。
- Score+系统作为现实案例,清晰显示通过数据结构性治理,在不依赖收入增长或直接补贴的情况下推动市场基础上的结构性再分配。
- 基于三种数据信息体系的微观模拟及宏观合成对照结果证实数据非竞争性带来的规模报酬及网络效应,表明开放、半开放及闭合数据系统在经济效率和公平性上的差异。
- 利息负担Lorenz曲线及Gini指标的变化体现了数据使用对金融负担分配的调整,积分归纳数据可见性的提升是达成更公平信贷负担的重要前提。
- 报告强调仅仅增加数据披露不足以保证公平,算法设计与政策监管需兼顾预测精度与社会公平,可借助合成数据等工具事前评估影响。
- 综观全文,作者强烈建议将信用数据置于公共或准公共资产范畴,以伦理和治理为导向推动数据基础设施建设,实现真正的金融包容和贫困缓解。
---
结语
这份由泛美开发银行专家发布的报告以乌拉圭为案例,以严谨的理论基础配合详实的微观模拟和多角度实证验证,系统分析了信用数据作为非竞争性资产的再分配效应,明确了数据可见性提升在金融包容中扮演的核心角色。报告不仅丰富了当前学界关于数据经济与金融排斥的认识,也向政策制定者提出了深入思考数据治理与算法监管的现实路径。整体来看,该文具备高度专业性与创新性,对发展中经济体建立公平、高效金融体系具有重要借鉴意义。[page::0-17]
---

