The Pitfalls of Continuous Heavy-Tailed Distributions in High-Frequency Data Analysis
创建于 更新于
摘要
本文针对高频金融数据中整数价格变动使用连续重尾分布模型(如Student's t分布)存在的问题展开研究。论文指出传统依赖连续分布的GARCH模型忽视价格变动的离散性,导致估计退化且无效,提出基于区间似然的最大似然估计方法,校正离散观测的影响,并设计GARCH类模型用于整数价格变动的建模。实证表明该区间估计方法可有效改善模型拟合,Student's t分布适用于较低频率数据(如1分钟),而Skellam分布及其零膨胀变体在超高频(如1秒)数据表现优异,为高频波动率建模提供了新的视角和方法 [page::0][page::1][page::2][page::3][page::4][page::5][page::6][page::7][page::9]
速读内容
研究问题与数据背景 [page::0][page::1][page::2]
- 研究聚焦于高频金融数据中价格变动的离散性,使用IBM股票2024年252个交易日共1500多万条逐笔数据,考虑多种时间频率(0.1秒至5分钟)。
- 发现52%的tick变化为零,98%价格变动落于-10至10的整数区间,典型的价格变化量离散且频繁为零,传统连续模型难以适用。
- 图1展示了不同时间频率下价格变动的分布及Student’s t分布拟合,显示出频率越高,模型难以捕捉零值集中趋势。

传统Student’s t分布模型的局限性 [page::3][page::4]
- 应用4个R包估计基于Student’s t分布的GARCH及score-driven模型,1分钟频率结果较为稳定,1秒频率度数自由度ν估计表现分歧显著,部分陷入数值极限,导致模型退化至密度几乎集中特殊形状。
- 该退化体现在ν趋近于零,波动率参数趋于极小,密度集中于零且尾部极重,使得似然值异常膨胀,无实际解释意义。
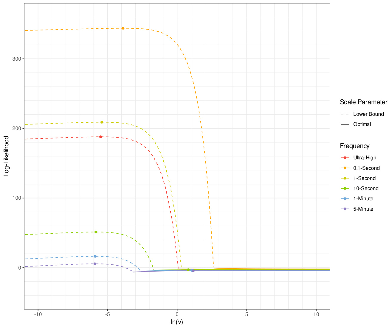
- 图2展示了对不同自由度参数下模型的对数似然函数曲线,阐明数值极限现象与陷阱。

区间最大似然估计方法及整数模型构建 [page::4][page::5]
- 提出将整数价格变动视为向最近整数取整的连续随机变量,从而以区间概率替代点密度进行似然函数构建,解决连续分布对离散数据拟合失败的问题。
- 设计一个基于学生t分布的区间估计GARCH类模型,同时考虑波动率的日内模式,和基于score的动态更新机制。
- 理论公式详细描述区间似然函数及对数似然梯度的计算方法。
整数模型实证比较及性能分析 [page::5][page::6][page::7]
- 对比基于区间估计的正态、区间学生t分布及Skellam及其零膨胀变体3种模型,在1秒和1分钟频率数据上拟合表现。
- 1秒频率零膨胀Skellam模型效果最佳,1分钟频率学生t模型拟合效果更好,但学生t模型在超高频表现不足,存在概率估计偏差(如对±1概率的高估)。
- 统计测试显示所有模型对残差的ARCH效应捕捉良好,除1秒频学生t因参数不存时刻无法计算标准化残差外。
- 离群点和异常波动预测准确性分析表明零膨胀Skellam模型在超高频数据的稳健性优于正态分布模型。

扩展至多只股票及通用适用性验证 [page::9][page::10][page::13][page::16]
- 在McDonald’s(MCD)、Cisco(CSCO)和Microsoft(MSFT)三只股票上复现相同分析,验证学生t分布退化特性及区间估计方法有效性。
- MSFT股票因价格变动更分散,学生t分布参数估计较为稳定且表现优异,显示模型适用性依赖于标的物的价格变动特征。
- 各股票在短频仍然推荐零膨胀Skellam模型,较长频适用区间学生t分布模型。
- 图示各股票不同频率价格变动分布及拟合残差,支持结论泛化。

结论 [page::7]
- 连续重尾分布(Student’s t)直接用于整数高频数据建模产生严重退化,无法产生有意义信息。
- 基于区间最大似然估计的校正方案有效缓解上述问题,能利用连续分布优势进行整数价格变动建模。
- 学生t分布适用于较低频(1分钟)建模,超高频(1秒)应倾向零膨胀Skellam等离散分布。
- 本方法拓展了高频波动率建模的思路,涉及风险管理、定价和交易策略领域,具有较强实用价值。
深度阅读
金融研究报告详尽分析
《The Pitfalls of Continuous Heavy-Tailed Distributions in High-Frequency Data Analysis》
作者与机构
- 作者:Vladimír Holý
- 机构:布拉格经济与商业大学(Prague University of Economics and Business)
- 联系邮箱:vladimir.holy@vse.cz
- 时间:2024年,具体日期未明
---
一、元数据与报告概览
本报告围绕高频金融数据中价格变化的分布建模,重点分析了传统GARCH模型在使用连续重尾分布(如Student’s t分布)时的局限性及其在处理离散价格变动时的缺陷。作者指出,价格变动实际上是整数形式的,这种离散性导致传统GARCH模型和基于连续密度的最大似然估计产生误导性结果。报告的核心论点是:
- 传统基于连续分布的GARCH模型在高频整数价格变化建模中表现不佳,特别是Student’s t分布会退化成以零为中心的“⊥”形密度,无实际信息价值。
2. 通过将整数价格变化看作连续变化四舍五入的结果,提出区间最大似然估计的改进方法,使连续分布仍能有效用于描述整数离散价格的波动特征。
报告的贡献在于:
- 提示市场风险管理者、研究人员应避免使用未修改的连续GARCH模型直接处理高频离散数据。
- 提供修改MLE方法的实用框架,兼顾数据离散性与分布连续性,有助于未来波动率预测、投资组合优化及衍生品定价模型的改进。
关键词包括高频数据、GARCH模型、动态条件分数模型(score-driven model)和Student’s t分布。 JEL分类主要为计量经济学及金融计量领域(C22、C58、G12)[page::0]。
---
二、逐节深度解读
1. 引言与研究背景(第0页)
- 本文聚焦GARCH模型在极高频数据中的应用问题,相关历史研究包括Engle (2002)和Ghysels & Jasiak (1998)等。
- 高频数据中价格离散显著,有些研究尝试用Skellam分布等离散分布建模。作者选择用连续的Student’s t分布做对比,重点揭示其缺陷。
- 文章结构清晰,先介绍数据和模型,然后分析Student’s t不适用的原因,最后提出基于离散区间的MLE修正,辅以实证,使用IBM股票和附录中的其他股票验证普适性。
- 研究动机是高校离散数据使用基于连续密度的常规方法内部估计偏差严重,实际效果可能误导决策者,从而呼吁方法论革新[page::0]。
2. 数据与建模策略(第1页)
- 以IBM股票为主角,日内252个交易日,Refinitiv Eikon数据,清洗后仍约1500万级tick-by-tick样本。清洗步骤严格遵照Barndorff-Nielsen等(2009)。
- 高频Tick数据观察时间不规则,Engle(2000)提出对间隔时间进行平方根缩放的回报率建模。但因大量零间隔交易(45%毫秒精度),该方法存在不足[page::1]。
- 简便起见采用固定时间频率聚合:0.1秒至5分钟。价格变动以连续两次观测价差的“整数”价差(以分为单位)分析。
- 价格变动分布显示:52%价差为0,98%价格变动在[-10,10]之间,显示明显离散与零集中,说明因子极其显著(图1反映此分布特征)[page::1]。
3. 连续模型不适用问题(第1–3页)
- 估计两类GARCH模型:Engle(K)标准GARCH和score-driven(GAS/DCS)模型,分布均选Student’s t,包括固定及时间变动波动率版本[page::1]。
- 通过4个R软件包(rugarch, fGarch, GAS, gasmodel)对1秒和1分钟数据建模,结果差异显著。1分钟模型皆表现较一致,而1秒模型发现部分包估计出极低自由度ν(学生t的参数),如gasmodel为0.22,其他软件将ν固定在2以上以保证矩存在,结果显示优化过程趋向于极端参数,导致log-likelihood异常高(72 vs. -2)说明极端拟合但无意义[page::3]。
- 进一步分析静态σ²模型时,log-likelihood与ν趋于0极大,且σ²极小导致分布在0附近高度集中,极端重尾,无法获得有效统计量和推断。且此时的log-likelihood由零集中密度爆炸驱动。
- 所有估计多为局部最优,且因程序包数值优化边界限制产生偏差。作者警告这些模型基于连续密度的估计对整数高频数据不适用,存在根本性缺陷[page::3]。
4. 离散整数模型与区间MLE(第3–5页)
- 改进方法为将整数价格变化视为对应区间的连续变量四舍五入结果。例如观察到价格变动2则对应连续区间(1.5, 2.5],似乎评价区间概率代替密度值,修正MLE函数。
- 该方法逻辑是计算价格变动落在整数区间的概率差(通过学生t的CDF差),避免直接用密度值导致的数值退化[page::4][page::5]。
- 设计基于score驱动模型,拓展了动态位置参数(μt)的MA(1)结构以捕获微观结构噪声,并引入日内波动率周期性修正(st),构造对数波动率模型动态演化方程。
- 评分函数(梯度)对应调整,考虑区间结构进行概率密度差计算,理论上保证估计稳定且贴合离散实际[page::5]。
5. 离散模型实证表现(第5–7页)
- 对1秒和1分钟频率,分别估计了区间估计基于正态、学生t、Skellam(纯离散)、以及零膨胀Skellam四个模型,后者用于弥补高零频现象。
- 结果显示1秒数据零膨胀Skellam表现最佳,1分钟数据学生t通过区间MLE拟合最好。
- 图3揭示学生t模型在1秒级别下对于价格变动±1概率过高估计,其余概率低估,表现存在偏差,而1分钟无系统偏差但零点概率仍稍低估[page::6]。
- ARCH-LM检验残差方差自相关均较低,除1秒学生t因无矩无法计算残差外,模型整体能捕获波动性动态。
- 关注Out-of-sample预测,学生t、Skellam及膨胀Skellam模型日数据外拟合良好,正态模型对1秒频出现超大残差时极易估计失败,预测不稳健,综合评价零膨胀Skellam适合1秒频,学生t适合1分钟频,体现分布适配的重要性[page::7]。
6. 结论(第7页)
- 传统学生t在高频整数价格变化中退化为集中于零且重尾无用形态,无法产生有效结果。
- 基于区间估计原理的MLE修正改善了该问题,使动态学生t模型结果合理且与文献中Skellam模型拟合力相当。
- 学生t更适合低频(如1分钟)数据,高频阶段仍需多分布比较。
- 区间MLE方法普适,不局限于学生t,为高频价格波动建模开辟新路径。
- 结果适用于风险管理、交易策略、金融衍生品定价等实际应用[page::7]。
---
三、图表与表格深度解析
图1 (第2页)
- 描述: 展示IBM股票不同时间频率下价格变化的直方分布(离散值)及用多种固定自由度和拟合尺度参数的学生t分布连续密度曲线重叠。
- 解析: 高频(超高频与0.1秒)几乎所有拟合曲线到零的峰值集中度极高,尺寸缩减到0,体现“⊥”形态;而随时间聚合至1分钟及5分钟,分布渐宽,拟合曲线尺度σ²明显放大。
- 影响: 验证了离散价格变化导致的学生t退化现象,标明频率越高“重尾”与零密度冲突越剧烈[page::2]。
表1 (第4页)
- 描述: 多软件包对1秒和1分钟频学生t GARCH模型日度参数中位数估计结果,包括位置μ、波动方程参数(ω,α,φ)、自由度ν、ARCH-LM统计量及平均对数似然。
- 解析:
- 1秒频ν估计差异大,gasmodel获得接近0的0.22,其他均界限在~2以上。对应log似然为正72,其他为-2,数值优化问题明显。
- 1分钟频差异缩小,ν在6-7区间,估计更合理,ARCH-LM数值低表明波动性捕获较好。
- 作用: 表明固定连续分布模型高频不收敛问题严峻,且默认界限影响结果可靠性[page::4]。
图2 (第4页)
- 描述: 静态学生t模型下,不同频率数据对数似然关于对数ν的变化曲线。
- 解读: 随ν趋近零,对数似然急剧上升达到峰值,该峰值与σ²达到数值精度下界(2^-1074)对应。低频数据峰值较低,高频数据峰值爆炸。
- 联系文本:直接佐证学生t模型极端收敛到数值边界导致估计无效[page::4]。
表2 (第6页)
- 描述: 区间MLE模型基于多种分布在1秒和1分钟频的数据估计结果:包括移动平均θ,波动方程参数,ν,零膨胀率,ARCH-LM统计与对数似然,及其次日外样本性能。
- 解析:
- 1秒频:零膨胀Skellam对数似然最好,正常分布因未捕获极端点失败,学生t性能次之。
- 1分钟频:学生t模型对数似然最高,表现最好。
- 外样本结果显示稳定拟合,支持模型实际预测能力[page::6-7]。
图3 (第6页)
- 描述: 1秒及1分钟频邻近价格区间模型拟合概率与实际价格变动概率间差值条形图。
- 解读:
- 1秒频学生t模型在±1处概率过高估计,其他处低估,表现系统偏差。
- 1分钟偏差较弱且无明显偏倚。
- 说明: 体现模型对高频整数价格变化捕捉局限[page::6]。
附录中多只股票的图表(第10-18页)
- 分析了MCD、CSCO、MSFT三只股票的类似实验,图表形态与参数估计趋势与IBM相似,但细节略有区别,例如CSCO存在更多零值,MSFT因样本更大参数更稳定。
- 评估表明不同股票间扭曲与模型偏差多与交易频率和数据分布有关,进一步支持研究结论在广泛市场的适用性[page::9-18]。
---
四、估值分析
本报告非公司价值评估性质,无典型财务估值方法(如DCF、市盈率等),而是统计建模方法论研究,估值为统计对数似然,有区间MLE的不同拟合优度指标。本文中的“估值”即为模型拟合优度,与标准金融估值不同。
---
五、风险因素评估
报告主要风险在于传统连续分布假设与高频离散数据不匹配,导致模型估计陷入数值极限,参数非唯一且结果误导,进而影响后续风险管理与定价策略。作者未详述风险概率或缓释方案,但提出的区间MLE方法即为根治方案,显著缓解该风险,实现更稳健模型估计。
---
六、批判性视角与细微差别
- 报告客观揭示Student’s t在高频整数场景中固有问题,警示传统GARCH模型的普适应用风险,具有一定的学术创新与实践指导意义。
- 可能的局限是区间MLE计算成本较高,特别是在极大数据量情况下,未讨论数值效率优化。
- 未详细探讨其它连续重尾分布(如极值分布、t混合分布等)是否存在类似退化问题及区间MLE中特殊调整。
- 报告基于一个主要样本(IBM),虽有附录拓展,可进一步增加跨期和跨市场验证增强普适性。
- 研究聚焦模型拟合与估计,不涉及预测应用的经济价值验证或者具体交易策略影响,留待后续研究。
---
七、结论性综合
本文细致剖析了广泛使用的GARCH和Score-driven模型在高频金融价格数据中应用时遇到的统计弊端。实证以IBM等多只股票为样本,清晰揭示在整数价格变动数据中,传统基于连续重尾分布(如学生t)的MLE优化会退化成密度集中于零的极端情况,具有极度重尾、无矩特征,使得常规金融经济模型无法生成有效信息。作者提出通过区间最大似然估计,将观察数据视为对应离散区间的四舍五入结果,成功避免了数值退化,使得学生t等连续分布能与离散分布如Skellam竞争,实现了波动性动态模型的合理推断。结论强调在极高频数据分析中必须重视价格离散性和零价变的实际特征,提示研究者及从业者慎用传统连续分布模型,采用区间MLE等修正手段提升建模质量。该方法适用于各种连续分布,开拓了高频金融波动分析的新路径[page::0-7]。
整体上,报告展现了高频金融计量的技术创新与实际应用价值,对于金融市场风险管理、定价和策略开发具有重要参考意义。
---
图表引用
- 图1价格变动分布与Student’s t密度拟合
- 表1各种R包GARCH模型估计参数比较
见正文第四页相应html表格
- 图2静态学生t模型对数似然曲线
- 表2基于整数区间MLE的不同分布模型比较
见正文第六页相应html表格
- 图3学生t模型拟合概率与真实概率差异
- 附录相关股票数据图与表详见正文第10-18页
---
综上,该报告全面详尽地分析了高频金融数据中的离散价格变动建模问题,系统展现了传统重尾模型的局限,创新提出了区间MLE修正,验证了实用效果,具有重要学术和实际应用价值。

